PART 7

Synthesis

In general:
We will present an overview of synthesis. What is expected from present tools.












Synthesis.main_concepts



Hardware Generation

Library Mapping

Optimization

Resource sharing


Synthesis transforms one hardware format to another

  • Results are mapped to a certain library
  • Optimization reduces logic
  • Resources such as adders can be reused











    Synthesis.main_concepts




    Design process includes high level simulation

  • Synthesizer is used after design verification
  • Simulate after synthesis to verify timing











    Synthesis.main_concepts



    Std_logic

    Integer

    Enumeration types


    Synthesizers support IEEE 1164 mvl9

  • Integer type for signals is supported
  • Enumeration types are used for states of state machines
  • No timing of type TIME is synthesized











    Synthesis.main_concepts



    Can synthesize
    Structural

    Dataflow

    Behavioral


    Can start with sub_component specification

  • Can use signal assignments
  • Can specify functionality in a process statement











    Synthesis.main_concepts



    ARCHITECTURE structural OF xnor IS
    COMPONENT xor2 PORT ( i1, i2 : IN BIT; o1 : OUT BIT );
    COMPONENT not1 PORT ( i1 : IN BIT; o1 : OUT BIT );
    SIGNAL x : BIT;
    BEGIN
    c1 : xor2 PORT MAP ( i1, i2, x );
    c2 : not1 PORT MAP ( x, o1 );
    END structural;


    At the structural level, wiring predefined parts are specified

  • Parts come from specific technology libraries











    Synthesis.main_concepts



    ARCHITECTURE dataflow OF xnor IS
    BEGIN
    o1 <= NOT (i1 XOR i2);
    END dataflow;


    Dataflow specifies bus and register transfers

  • Synthesizers generate hardware specified at dataflow level











    Synthesis.main_concepts



    ARCHITECTURE behavioral OF xnor IS
    BEGIN
    PROCESS ( i1, i2 )
    BEGIN
    IF i1 = i2 THEN
    o1 <= '1';
    ELSE
    o1 <= '0';
    END IF;
    END PROCESS
    END behavioral


    Behavioral level is the easiest to specify hardware

  • Synthesizers use this level for synthesis
  • Certain rules must be followed











    Synthesis.structural_synthesis



    ARCHITECTURE structural OF counter2 IS
    COMPONENT dff PORT(ck, data : IN BIT; q : OUT BIT);
    END COMPONENT;
    COMPONENT xor2 PORT (i1, i2 : IN BIT; o1 : OUT BIT);
    END COMPONENT;
    COMPONENT not1 PORT (i1 : IN BIT ; o1 : OUT BIT);
    END COMPONENT;
    SIGNAL d1, y, d0, y0 : BIT;
    BEGIN
    u1 : dff PORT MAP (clk, d1, y1);
    u2 : dff PORT MAP (clk, d0, y0);
    u3 : xor2 PORT MAP (y1, y0, d1);
    u4 : not1 PORT MAP (y0, d0);
    count0 <= y0;
    count1 <= y1;
    END structural;


    Use structural to build larger components form smaller ones

  • Can wire full adders into n_bit adders
  • Hardware is generated from predefined library cells











    Synthesis.structural_synthesis




    Hardware generated from structural of counter2

  • Can use this design in larger designs
  • Can do other parts of design at dataflow or structural
  • This way you control parts to use
  • Some libraries may include large functional blocks
  • Structural synthesis allows use of functional blocks











    Synthesis.combinational_circuits



    ENTITY selecting IS
    PORT (a, select_a, b, select_b, c : IN std_logic; z : OUT std_logic);
    END selecting;
    ARCHITECTURE behavioral OF selecting IS
    BEGIN
    PROCESS (a, select_a, b, select_b, c)
    BEGIN
    IF select_a = '1' THEN
    z <= a;
    ELSIF select_b = '1' THEN
    z <= b;
    ELSE
    z <= c;
    END IF;
    END PROCESS;
    END behavioral;


    A behavioral combinational process translates to a combinational circuit

  • Process must be sensitive to all inputs
  • This process does not store values











    Synthesis.combinational_circuits



    ARCHITECTURE dataflow OF selecting IS
    BEGIN
    z <= a WHEN select_a = '1' ELSE
    b WHEN select_b = '1' ELSE
    c;
    END dataflow;


    Same hardware can be generated by a dataflow description

  • In this description AFTER clauses are ignored by the synthesizer
  • Can use subprograms for logic functions











    Synthesis.combinational_circuits



    .
    .
    .
    bus_a <= reg_1 WHEN put_reg_1_on_bus = '1'
    ELSE "zzzz";
    .
    .
    .
    bus_a <= reg_z WHEN put_reg_z_on_bus = '1'
    ELSE "zzzz";
    .
    .
    .


    Bussing can be specified by use of conditional signal assignments

  • Assigning "zzzz" is synthesized as opening a three_state gate
  • Hardware is generated by use of available library cells











    Synthesis.functional_registers



    ENTITY counter2 IS
    PORT (clk, reset : IN std_logic;
    count : BUFFER std_logic_vector ( 1 DOWNTO 0));
    END counter2;
    --
    ARCHITECTURE behavioral OF counter2 IS
    BEGIN
    PROCESS
    BEGIN
    WAIT UNTIL ( clk'EVENT AND clk = '1' );
    IF reset = '1' OR count = "11" THEN
    count <= "00";
    ELSE
    count <= count + "01";
    END IF;
    END PROCESS;
    END behavioral;


    A WAIT in process, implies clocking

  • Can also use IF( clk' EVENT AND clk = '1') with sensitivity list
  • An edge condition must be the last of IF statement











    Synthesis.functional_registers




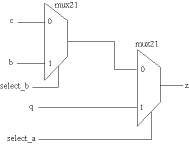
    A possible hardware generated for counter

  • Cells from an available library are used











    Synthesis.functional_registers

    ARCHITECTURE dataflow OF counter2 IS
    BEGIN
    bc : BLOCK ( clk'EVENT AND clk = '1' )
    BEGIN
    count <= GUARDED '00' WHEN reset = '1' ELSE count +"01";
    END BLOCK;
    END dataflow;


    Can also synthesize dataflow descriptions

  • A guarded block specifies clocking
  • Generates same hardware as behavioral descriptions











    Synthesis.state_machines




    State machines describe general hardware

  • A simple state machine assigns values to outputs
  • Synthesizers take state machines with programs with flow instead of simple output values
  • Can use high level constructs for such programs











    Synthesis.state_machines




    Can describe state machines with logical and memory parts

  • Logical part defines sequencing
  • Memory part updates current state with clock











    Synthesis.state_machines



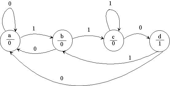
    ENTITY detector IS
    PORT ( x, clk : IN std_logic; z : OUT std_logic);
    END detector;
    ---
    ARCHITECTURE behavioral OF detector IS
    TYPE state IS ( reset, got1, got11, got110 );
    SIGNAL next_state, current_state : states;
    BEGIN
    sequencing : PROCESS ( current_state, x )
    BEGIN
    z <= '0';
    CASE current_state IS
    WHEN reset =>
    IF x = '0' THEN next_state <= reset; ELSE next_state <= got1;
    END IF;
    WHEN got1 =>
    IF x = 0 THEN next_state <= reset; ELSE next_state <= got11;
    END IF;
    WHEN got11 =>
    IF x = 0 THEN next_state <= got110; ELSE next_state <= got11;
    END IF;
    WHEN got110;
    z <= '1';
    IF x = 0 THEN next_state <= reset; ELSE next_state <= got1;
    END IF;
    END CASE;
    END PROCESS;
    clocking : PROCESS ( clk )
    BEGIN
    IF ( clk'EVENT AND clk = '0' ) THEN
    CURRENT_STATE <= NEXT_STATE;
    END IF;
    END PROCESS;
    END behavioral;


    Sequencing PROCESS for logical part

  • Clocking PROCESS for memory part











    Synthesis.state_machines



    Hardware design
    1. Design state machine
    use programs between states
    use CASE, IF_THEN, ... for assigning output values

    2. Partition into data and control
    synthesize data units
    synthesize control unit by a state machine


    Two design methods both use state machine descriptions

  • Next two parts will present these methods











    Synthesis.conclusions

    1. Outline: Introduction, Organization, Outline

    2. Review: Levels of abstraction, Entity and Architecture, Signal assignments, Guarded signal assignments, Three state bussing, Process statements, Combinational processes, Sequential processes, Multiplexing, Package

    3. MSI Based Design: Use MSI parts of Part 2, Sequential multiplication, Designing the multiplier, Control and data parts, Testing the multiplier

    4. General CPU Description: Will present a high level VHDL description of a small CPU. The CPU, Memory organization, Instructions, Addressing, Utilities for VHDL description, Interface, Behavioral description, Coding individual instructions

    5. Manual Data_path Design: Will present VHDL description for manual design of data_path. Data components, Bussing structure, Description of logic, Description of registers, Bus resolutions, Component wiring

    6. Manual Controller Design: Will present VHDL description for manual design of controller. Controller hardware, VHDL style, Signals and resolutions, State descriptions, Complete CPU, Testing CPU

    7. Synthesis: Main concepts, Structural synthesis, Combinational circuits, Functional registers, State machines

    8. Behavioral_Synthesis: Will present a high level synthesizable CPU description. Synthesis style, Necessary Package, Interface, General Layout, Registers, Clocking, Sequencing, Simulation and Synthesis

    9. Dataflow_Synthesis: Will partition the CPU and synthesize each part separately. Synthesis style, Controller, Data components, Data path, Synthesized example, Conclusions





    to the top of the document